EP1694829B1.pdf

Aperçu texte
EP 1 694 829 B1
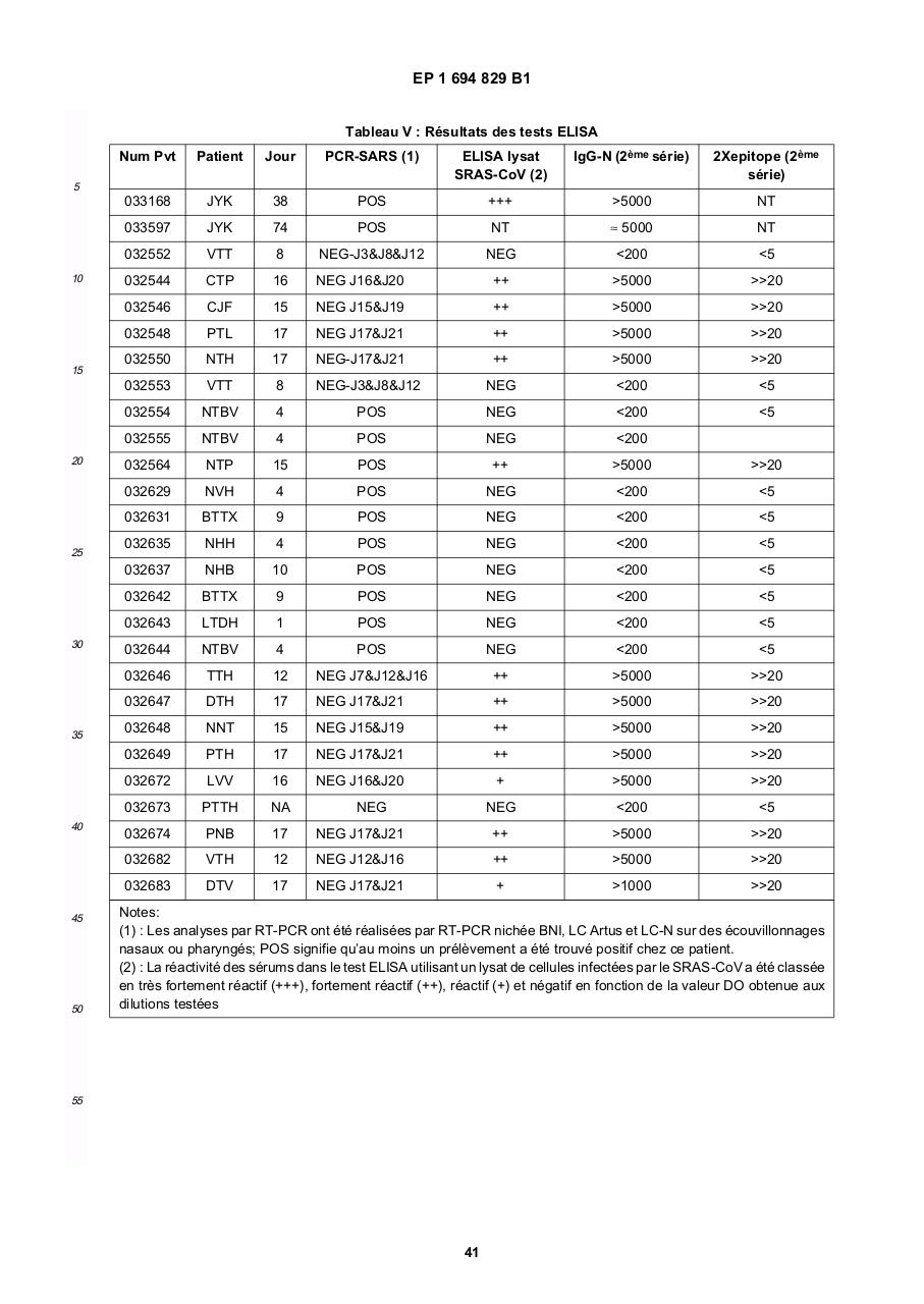
Tableau V : Résultats des tests ELISA
5
10
15
20
25
30
35
40
45
50
Num Pvt
Patient
Jour
PCR-SARS (1)
ELISA lysat
SRAS-CoV (2)
IgG-N (2ème série)
2Xepitope (2ème
série)
033168
JYK
38
POS
+++
>5000
NT
033597
JYK
74
POS
NT
≈ 5000
NT
032552
VTT
8
NEG-J3&J8&J12
NEG
<200
<5
032544
CTP
16
NEG J16&J20
++
>5000
>>20
032546
CJF
15
NEG J15&J19
++
>5000
>>20
032548
PTL
17
NEG J17&J21
++
>5000
>>20
032550
NTH
17
NEG-J17&J21
++
>5000
>>20
032553
VTT
8
NEG-J3&J8&J12
NEG
<200
<5
032554
NTBV
4
POS
NEG
<200
<5
032555
NTBV
4
POS
NEG
<200
032564
NTP
15
POS
++
>5000
>>20
032629
NVH
4
POS
NEG
<200
<5
032631
BTTX
9
POS
NEG
<200
<5
032635
NHH
4
POS
NEG
<200
<5
032637
NHB
10
POS
NEG
<200
<5
032642
BTTX
9
POS
NEG
<200
<5
032643
LTDH
1
POS
NEG
<200
<5
032644
NTBV
4
POS
NEG
<200
<5
032646
TTH
12
NEG J7&J12&J16
++
>5000
>>20
032647
DTH
17
NEG J17&J21
++
>5000
>>20
032648
NNT
15
NEG J15&J19
++
>5000
>>20
032649
PTH
17
NEG J17&J21
++
>5000
>>20
032672
LVV
16
NEG J16&J20
+
>5000
>>20
032673
PTTH
NA
NEG
<200
<5
032674
PNB
17
NEG J17&J21
++
>5000
>>20
032682
VTH
12
NEG J12&J16
++
>5000
>>20
032683
DTV
17
NEG J17&J21
+
>1000
>>20
NEG
Notes:
(1) : Les analyses par RT-PCR ont été réalisées par RT-PCR nichée BNI, LC Artus et LC-N sur des écouvillonnages
nasaux ou pharyngés; POS signifie qu’au moins un prélèvement a été trouvé positif chez ce patient.
(2) : La réactivité des sérums dans le test ELISA utilisant un lysat de cellules infectées par le SRAS-CoV a été classée
en très fortement réactif (+++), fortement réactif (++), réactif (+) et négatif en fonction de la valeur DO obtenue aux
dilutions testées
55
41